![]() |
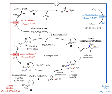
| ▲ 반응 기작에 대한 도식화 (사진=한국연구재단 제공) |
[mdtoday=이재혁 기자] 국내 연구진이 비시널(vicinal‧인접) 위치에 다이플루오로메틸화 화합물을 효과적으로 합성하는 방법을 개발해 신약 후보 물질 합성 및 라이브러리 구축의 새로운 전략으로 활용이 기대된다.
한국연구재단은 포스텍 김현우 교수 연구팀이 전기촉매법을 사용해 비시널 위치에 이중으로 다이플루오로메틸화 화합물을 합성하는 새로운 방법을 개발했다고 5일 밝혔다.
다이플루오로메틸(CF2H) 작용기는 극성화된 탄소-수소 결합 및 친유성을 포함한 화합물로 독특한 동배체적 특성을 가지고 있다.
수소 결합 주개에 상응하는 작용기를 다이플루오로메틸 그룹으로 대체하는 것만으로도 약물 후보 물질의 물리화학적·생물화학적 특성을 향상시켜 화학 물질 개발의 중심 전략으로 부상했다. 특히 비시널 위치 수소 결합 주개의 동배체로, 새로운 형태의 골격 구조를 갖는 다이플루오로메틸화 화합물의 접근법에 대한 관심이 급증하고 있다.
하지만 반응 중간체의 여러 합성적 가능성 때문에 원치 않은 부반응이 발생하거나 라디칼 중간체의 속도론적 장벽 때문에 원하는 구조의 생성에 있어서 낮은 효율을 보이는 한계가 있다.
이에 연구팀은 전기적 산화와 구리 촉매를 접목해 비시널 위치에 이중 다이플루오로메틸화 화합물을 합성하는 효과적인 방법을 개발했다. 전기적으로 산화된 다이플루오로메틸 라디칼을 이용해 기질의 말단에 다이플루오로메틸 그룹을 설치하고, 이후 생성된 탄소 라디칼 중간체에 고가의 구리 촉매와 결합했다.
연구팀은 전기화학 및 계산화학 등 여러 실험 기법을 이용해 반응의 메커니즘을 규명했다. 또한 기존의 의약 활성 구조를 포함하는 복잡한 물질도 해당 합성법의 적용이 가능해 추후 신약 후보 물질 도출을 위한 라이브러리 확장이 가능함을 확인했다.
김현우 교수는 “이번 연구는 기존 비시널 위치의 이중 다이플루오로메틸화 반응의 속도론적 한계를 극복하기 위해 다이플루오로메틸화 시약의 라디칼/음이온 전구체로의 이중적인 역할과 구리-전기촉매 시스템을 접목한 합성법을 제시한데 의의가 있다”며 “해당 합성법은 신약 물질의 구조적 다양성을 높이는 타개책으로 적용 가능할 것”이라고 기대를 밝혔다.
한편 과학기술정보통신부와 한국연구재단이 추진하는 우수신진연구 및 기초연구실, 바이오·의료기술개발사업의 지원으로 수행된 이번 연구의 성과는 화학 분야 국제학술지 ‘미국화학회지(Journal of the American Chemical Society)’에 7월 30일 게재됐다.
메디컬투데이 이재혁 ([email protected])

[저작권자ⓒ 메디컬투데이. 무단전재-재배포 금지]















































