교통사고, 낙상 등 외상 후 뇌손상 환자 1년 내 우울증 위험 최대 11배↑
![]() |
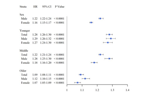
| ▲ 연령과 성별에 따른 외상성 뇌손상 이후 우울증 발생 위험 (그래프=국립교통재활병원 제공) |
[mdtoday=이한희 기자] 교통사고나 낙상 등 외상으로 인한 뇌손상 환자의 우울증 발생 위험이 고령보다 젊은 연령층에서, 여성보다 남성에서 커진다는 연구결과가 나왔다.
국립교통재활병원 산하 교통재활연구소는 8일 이 같은 내용을 담은 외상으로 인한 뇌손상과 우울증 발생 위험에 대한 연구결과를 발표했다.
이자호 교수(서울대병원 재활의학과)와 박혜윤 교수(서울대병원 정신건강의학과), 최윤정 연구교수(제1저자, 교통재활연구소)는 지난 2010년부터 2017년까지 국민건강보험공단 228만 명의 데이터를 분석했다.
연구 결과에 따르면 교통사고, 낙상 등, 외상으로 인한 뇌손상 환자의 우울증 발생 위험이 일반 성인보다 약 19% 증가했다.
성별로는 남성 22%, 여성 16%로, 남성 환자의 우울증 발생 위험이 더 높았다. 연령별로는 고령층보다 젊은 연령층이 우울증 발생 위험이 더 높은 것을 확인했는데 20~30대 환자에서는 우울증 발생 위험이 28%, 40~50대 중년층에서는 22%, 60대 이상 고령층에서는 7% 증가했다.
또한 외상으로 인한 부상 정도가 심해질수록 우울증 발생 위험이 높아졌다. 비교적 경증인 뇌진탕 환자의 경우 우울증 발생 위험이 약 21% 증가했지만 중증 외상성 뇌손상 환자는 45%, 두개골 골절 환자는 63%까지 늘었다.
아울러 뇌손상 1년 이내 우울증 발생 위험은 약 11배까지 증가해 외상성 뇌손상 환자들의 우울증 조기진단 및 치료에 대한 중요성이 제시됐다.
이자호 교수는 “사회 활동이 활발한 젊은 층에서 외상 후 우울증 발생 위험이 크다는 점을 고려하면, 정신건강 후유증의 위험성을 적극 인식하고 조기 치료해 사회복귀를 돕기 위한 노력이 필요하다”고 강조했다.
외상성 뇌손상(TBI, Traumatic Brain Injury)은 낙상, 교통사고 등 각종 사고가 주요한 원인으로 최근 발생한 이태원 압사 사고에서 호흡곤란으로 인한 저혈류·저산소 뇌손상도 이에 해당한다.
외상으로 인한 뇌손상은 전 세계적으로 45세 이하 젊은 연령층의 주요 사망 원인이기도 하다. 의학기술의 발전으로 외상성 생존율은 증가했으나 여전히 많은 환자들이 외상성 뇌손상 이후에 뇌기능 저하로 인한 신체, 정신적 후유증을 겪고 있다.
이번 연구는 교통재활연구소의 외상성 뇌손상 10년 발생률 결과에 이어 합병증에 관련한 국내 첫 보고로, 현재까지 세계적으로 보고된 외상성 뇌손상 코호트 연구 중 최대 규모다. 연구 결과는 국제 학술지인 신경외상학회지(Journal of Neurotrauma) 최신호에 게재됐다.
한편 국립교통재활병원(국토교통부 설립, 서울대학교병원 운영) 산하의 교통재활연구소는 자동차사고 손상과 장애에 대한 재활 효과 향상을 목적으로 다양한 기초연구 및 정책 연구를 수행하고 있다.
메디컬투데이 이한희 ([email protected])

[저작권자ⓒ 메디컬투데이. 무단전재-재배포 금지]















































